ZHCSD16A October 2014 – November 2014 TPS8268090 , TPS8268105 , TPS8268150
PRODUCTION DATA.
| MIN | MAX | UNIT | ||
|---|---|---|---|---|
| VI | Voltage at VIN(2) | –0.3 | 6 | V |
| Voltage at VOUT(2) | –0.3 | 3.6 | ||
| Voltage at EN, MODE(2) | –0.3 | VIN + 0.3 | ||
| Peak output current | 1600 | mA | ||
| TJ | Operating internal junction temperature range | –40 | 125 | °C |
| MIN | MAX | UNIT | ||
|---|---|---|---|---|
| Tstg | Storage temperature range | –55 | 125 | °C |
| ESD rating (1)(2)(3) | Human body model | –2 | 2 | kV |
| Charge device model | –500 | 500 | V | |
| Machine model | –100 | 100 | V |
| MIN | NOM | MAX | UNIT | |||
|---|---|---|---|---|---|---|
| VIN | Input voltage range | 2.5 | 5.5 | V | ||
| IOUT | Peak output current for TPS8268090, TPS8268105 | VIN ≥ 2.8V | 0 | 1600(1) | mA | |
| Peak output current for TPS8268150 | VIN ≥ 3.2V | |||||
| IOUT | Average output current for TPS8268090, TPS8268105 | VIN ≥ 2.7V | 0 | 1200(1) | mA | |
| Average output current for TPS8268150 | VIN ≥ 2.9V | |||||
| IOUT | Average output current during soft-start | Vout ≤ 0.9 x VOUT,nom | 0 | 1000(1) | mA | |
| Additional effective input capacitance | 0 | µF | ||||
| Additional effective output capacitance | 0 | 30(2) | µF | |||
| TA | Operating ambient temperature range | –40 | 85 | °C | ||
| THERMAL METRIC(1) | TPS8268x | UNIT | |
|---|---|---|---|
| SIP | |||
| 9 PINS | |||
| RθJA | Junction-to-ambient thermal resistance | 62 | °C/W |
| RθJC(top) | Junction-to-case (top) thermal resistance | 22 | |
| RθJB | Junction-to-board thermal resistance | 25 | |
| ψJT | Junction-to-top characterization parameter | 11 | |
| ψJB | Junction-to-board characterization parameter | 25 | |
| RθJC(bot) | Junction-to-case (bottom) thermal resistance | n/a | |
| PARAMETER | TEST CONDITIONS | MIN | TYP | MAX | UNIT | |||
|---|---|---|---|---|---|---|---|---|
| SUPPLY CURRENT | ||||||||
| IQ | Operating quiescent current | IOUT = 0mA | 7 | mA | ||||
| ISD | Shutdown current | EN = low | 0.5 | 5 | μA | |||
| UVLO | Undervoltage lockout threshold | VIN rising | 2.1 | 2.3 | V | |||
| VIN falling | 1.95 | 2.25 | V | |||||
| ENABLE, MODE | ||||||||
| VIH | High-level input voltage | 0.9 | V | |||||
| VIL | Low-level input voltage | 0.4 | V | |||||
| Ilkg | Input leakage current | Input connected to GND or VIN; TJ = –40°C to 85°C | 0.01 | 1.5 | μA | |||
| PROTECTION | ||||||||
| Thermal shutdown | Temperature rising | 140 | °C | |||||
| Thermal shutdown hysteresis | Temperature falling | 10 | °C | |||||
| ILIM | Average output current limit | 2100 | mA | |||||
| ISC | Input current limit under short-circuit condition | VOUT shorted to ground | 150 | mA | ||||
| OUTPUT | ||||||||
| TPS8268150 | 1.50 | V | ||||||
| VOUT,NOM | Nominal output voltage | TPS8268105 | 1.05 | V | ||||
| TPS8268090 | 0.9 | V | ||||||
| Output voltage accuracy | TPS8268105, TPS8268090 | 2.8V ≤ VIN ≤ 5.5V, 0mA ≤ IOUT ≤ 1600 mA TJ = –40°C to 85°C |
0.985×VOUT,NOM | VOUT,NOM | 1.015×VOUT,NOM | V | ||
| TPS8268150 | 3.2V ≤ VIN ≤ 5.5V, 0mA ≤ IOUT ≤ 1600 mA TJ = –40°C to 85°C |
|||||||
| TPS8268105, TPS8268090 | 2.7V ≤ VIN ≤ 5.5V, 0mA ≤ IOUT ≤ 1200 mA TJ = –40°C to 125°C |
0.98×VOUT,NOM | VOUT,NOM | 1.025×VOUT,NOM | V | |||
| TPS8268150 | 2.9V ≤ VIN ≤ 5.5V, 0mA ≤ IOUT ≤ 1200 mA TJ = –40°C to 125°C |
|||||||
| Line regulation | VIN = 2.5V to 5.5V, IOUT = 200 mA | 0.2 | %/V | |||||
| Load regulation | IOUT = 0mA to 1600 mA | –0.85 | %/A | |||||
| fSW | Nominal oscillator frequency | IOUT = 0mA | 5.5 | MHz | ||||
| Start-up delay time | Time from EN = high to start switching | 120 | 300 | μs | ||||
| tRAMP | Ramp time | IOUT = 0mA, Time from start switching until 95% of nominal output voltage | 150 | μs | ||||
| RDIS | VOUT discharge resistor | 12 | Ω | |||||

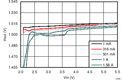
| VOUT = 1.50V | 25°C |

| VOUT = 1.50 V | 25°C |

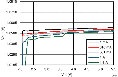
| VOUT = 1.05V | 25°C |

| VOUT = 1.05 V | 25°C |

| VOUT = 0.9 V | 25°C |

| VIN = 0.9 V | 25°C |

| VOUT = 1.50 V | 25°C |

| VOUT = 1.50 V | 25°C |

| VOUT = 1.05 V | 25°C |

| VOUT = 1.05 V | 25°C |

| VIN = 0.9 V | 25°C |

| VIN = 0.9 V | 25°C |