ZHCSOS1 March 2022 TPS629210E
PRODUCTION DATA
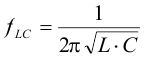
The TPS629210E is internally compensated to be stable with a range of LC filter combinations. The LC output filters inductance and capacitance have to be considered together, creating a double pole, responsible for the corner frequency of the converter using Equation 13.

Table 9-3 can be used to simplify the output filter component selection. The values in Table 9-3 are nominal values, and the effective capacitance was considered to be +20% and –50%. Different values can work, but care has to be taken on the loop stability which is affected. More information on the sizing of the LC filter of a DCS-Control regulator can be found in the Optimizing the TPS62130/40/50/60 Output Filter Application Note.
| 4.7 μF | 10 μF | 22 μF | 47 μF | 100 μF | 200 μF | |
|---|---|---|---|---|---|---|
| 1 μH(3)(4) | √ | √ | √ | √(2) | ||
| 1.5 μH | √ | √ | √ | √(2) | ||
| 2.2 μH | √ | √(1) | √ | √(2) | ||
| 3.3 μH | √ | √ | √ | √ | ||
| 4.7 μH | √ | √ | √ | √(2) |
Although the TPS629210E is stable without the pole and zero being in a particular location, an external feedforward capacitor can also be added to adjust their location based on the specific needs of the application. This can provide better performance in power save mode, improved transient response, or both.
A more detailed discussion on the optimization for stability versus transient response can be found in the Optimizing Transient Response of Internally Compensated DC-DC Converters Application Note and Feedforward Capacitor to Improve Stability and Bandwidth of TPS621/821-Family Application Note.