ZHCSB85F November 2011 – October 2021 TPS62140 , TPS62140A , TPS62141 , TPS62142 , TPS62143
PRODUCTION DATA
The duty cycle of the buck converter is given by D = VOUT/VIN and increases as the input voltage comes close to the output voltage. In this case, the device starts 100% duty-cycle operation, turning on the high-side switch 100% of the time. The high-side switch stays turned on as long as the output voltage is below the internal setpoint. This allows the conversion of small input-to-output voltage differences, for example, for the longest operation time of battery-powered applications. In 100% duty-cycle mode, the low-side FET is switched off.
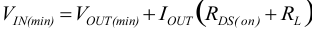
The minimum input voltage to maintain output voltage regulation, depending on the load current and the output voltage level, is calculated as:

where