ZHCSL23D March 2020 – July 2021 TPS548A29
PRODUCTION DATA
選擇輸出電容值時,需要考慮三點。


Equation20 和Equation21 可計算滿足 75mV 瞬態(tài)響應要求(階躍為 7A)的最小電容。這些公式計算當電感器電流在負載階躍后斜升或斜降時保持輸出電壓穩(wěn)定所需的輸出電容。


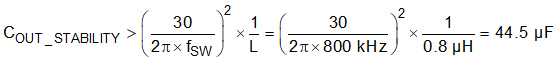
滿足過沖要求所需的輸出電容是最高值,因此這將設置本例所需的最小輸出電容。穩(wěn)定性要求還可以限制最大輸出電容,Equation22 可計算建議的最大輸出電容。此計算使 LC 雙極點保持在 fSW 的 1/100 以上??梢允褂酶蟮妮敵鲭娙荩仨毻ㄟ^波特圖或瞬態(tài)響應測量來檢查穩(wěn)定性。選擇的輸出電容為 4 x 47μF 6.3V 陶瓷電容器。使用陶瓷電容器時,由于直流和交流偏置效應,電容必須降額。選擇的電容器降額至其標稱值的 60%,即有效總電容為 112.8μF。該有效電容滿足最小值和最大值要求。

該應用全部使用陶瓷電容器,因此忽略了 ESR 對紋波和瞬態(tài)的影響。如果使用非陶瓷電容器,作為起點,ESR 應低于Equation23 中計算的值以滿足紋波要求,并低于Equation24 中計算的值以滿足瞬態(tài)要求。為了進行更準確的計算或如果使用的是混合的輸出電容器,應使用輸出電容器的阻抗來確定是否可以滿足紋波和瞬態(tài)要求。

