ZHCSI63D February 2019 – August 2021 TLV9301 , TLV9302 , TLV9304
PRODUCTION DATA
TA = 25°C,VS = ±20V,VCM = VS/2,RLOAD = 10kΩ(連接至 VS/2)且 CL = 100pF(除非另外說明)

| TA = 25°C |

| VCM = V+ |

| TA = 25°C |

| CLOAD = 15pF |
圖 6-9 輸入偏置電流與共模電壓間的關系
圖 6-11 輸出電壓擺幅與輸出電流(拉電流)間的關系
| VS = 5V |


| f = 0Hz |


| BW = 80kHz,f = 1kHz |
圖 6-23 靜態(tài)電流與溫度間的關系

| G = 1,100mV 輸出階躍 |


| G = -10 |

| RL = 1kΩ,CL = 20pF,G = –1,10mV 階躍響應 |

| CL = 20pF,G = 1 |

圖 6-39 通道隔離與頻率間的關系

| VCM = V– |


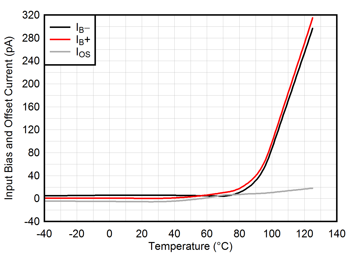
圖 6-10 輸入偏置電流與溫度間的關系
圖 6-12 輸出電壓擺幅與輸出電流(灌電流)間的關系
| VS = 5V |

| f = 0Hz |


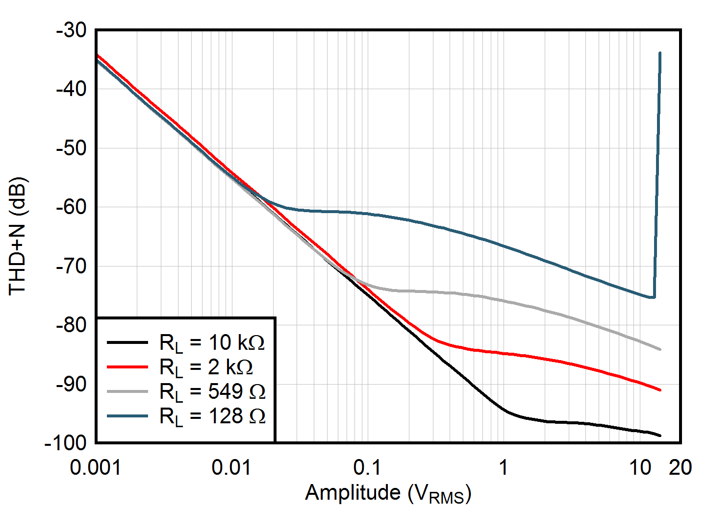
| BW = 80kHz,VOUT = 3.5 VRMS |

圖 6-24 開環(huán)電壓增益與溫度間的關系 (dB)
| G = –1,100mV 輸出階躍 |

| G = –1,100mV 輸出階躍 |

| G = -10 |

| CL = 20pF,G = 1,20mV 階躍響應 |

| CL = 20pF,G = 1 |

| CL = 10pF,G = -1 |

圖 6-40 EMIRR(電磁干擾抑制比)與頻率間的關系