ZHCSKZ6A March 2020 – August 2020 LM25184
PRODUCTION DATA
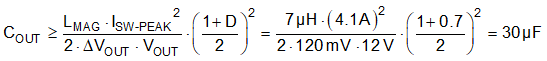
The output capacitor determines the voltage ripple at the converter output, limits the voltage excursion during a load transient, and sets the dominant pole of the small-signal response of the converter. Select an output capacitance using Equation 22 to limit the ripple voltage amplitude to less than 1% of the output voltage at minimum input voltage and maximum load.

Mindful of the voltage coefficient of ceramic capacitors, select four 22-μF, 25-V capacitors in 1210 case size with X7S or better dielectric. Assuming operation in BCM, calculate the capacitive ripple voltage at the output using Equation 23.

Equation 24 gives an expression for the output capacitor RMS ripple current.
