ZHCSBL6D september 2013 – april 2023 BQ24296 , BQ24297
PRODUCTION DATA
| FIGURE | |
|---|---|
| Charging Efficiency vs Charging Current (DCR = 10 mΩ) | Figure 8-2 |
| System Efficiency vs System Load Current (DCR = 10 mΩ) | Figure 8-3 |
| Boost Mode Efficiency vs VBUS Load Current (DCR = 10 mΩ) | Figure 8-4 |
| SYS Voltage Regulation vs System Load Current | Figure 8-5 |
| Boost Mode VBUS Voltage Regulation (Typical Output = 4.998 V, REG06[7:4] = 0111) vs VBUS Load Current | Figure 8-6 |
| SYS Voltage vs Temperature | Figure 8-7 |
| BAT Voltage vs Temperature | Figure 8-8 |
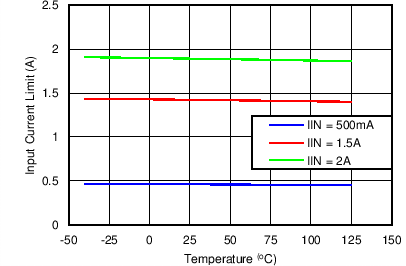
| Input Current Limit vs Temperature | Figure 8-9 |
| Charge Current vs Package Temperature | Figure 8-10 |



| Typical Output = 4.998 V, REG06[7:4] = 0111 | ||





